俄罗斯贵宾会集团

English 俄罗斯贵宾会集团集团企业邮箱
icon_searchclose

第五节 两个较大样本均数的μ检验

作者:徐荣祥 出版社:中国科学技术出版社 刊行日期:2009年7月

当两个样本数量较大时(即两组样本皆大于50),不用查t值表,可选取μ检验步骤。其公式为:
20113415350199

示例376某医生对100例沉度烧伤病人和100名健全者的血清钠查抄了局进行统计分析,资料汇于下(表374)。问组间有无显著性意思?
20113415357436

【解题步骤】
1成立无效如果和确定显著水准:H0:健全组与烧伤组血钾均数一样,μ1=μ2;H1:μ≠0;α=005。
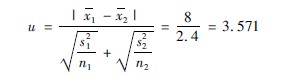
2推算u值:
20113415411307

3推算自由度:(100+100)-2=198,当n′=198时,t005≌1972,t001≌2345,t0001≌3340,今t=3571,即大于2345,也大于3340,则P<0001。
4结论:沉度烧伤病人与健全人比力,血钠水平降落拥有显著性差距。

【网站地图】