俄罗斯贵宾会集团

English 俄罗斯贵宾会集团集团企业邮箱
icon_searchclose

第三节 成对样本均数的t检验

作者:徐荣祥 出版社:中国科学技术出版社 刊行日期:2009年7月

此步骤适应于统一批病人或试验动物处置前后或配对比力差距的显著性检验。成对比力的根基步骤是先推算出试验前后两数据之差 ,而后用差数的均数及其尺度误推算t值。公式别离为:
201134145818959

示例37410例高血压病人选取A种降压药物医治 ,医治前后的舒张压变动了局纪录于表371中。问A种降压药物医治后的舒张压变动与医治前有无显著性差距 ?
20113414594712


【解题步骤】
1成立无效如果和确定显著水准(α):设H0:差数的总体均数蹬宗零(医治前后舒张压无变动 ,则医治前后舒张压的总体均数必然蹬宗零) ,即μ=0;设H1:μ≠0。α=005。
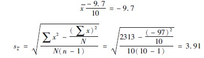
2求出每一例病人医治前后舒张压变动的差值(x) ,将其相加得出差数总和(-97)。
3别离推算差数的均匀值(x)与尺度误(sx):
201134145935588

4推算t值:
20113415019216

5凭据自由度查t值表:自由度蹬宗9(10-1)时 ,t005=2262 ,现t值为248 ,大于2262 ,即t>2262 ,P<005 ,注明差距显著。
6了局判断:A种降压药物拥有降低舒张压的作用。

【网站地图】