俄罗斯贵宾会集团

English 俄罗斯贵宾会集团集团企业邮箱
icon_searchclose

第一节 集中趋向指标

作者:徐荣祥 出版社:中国科学技术出版社 刊行日期:2009年7月

离散(dispersion)趋向指标指的是计量资料所有观察值偏离中心地位的水平(measures of variation)。描述离散趋向的重要统计指标有全距(range,R)、方差(variance)、尺度差(standard deviation)、变异系数(coefficient of variation)等。
一、全距
全距又称极差,以符号R暗示。R蹬宗一个变量的所有观察值中最大值(maximum,Max)与最幼值(miximum,Max)之间的差值。推算公式为(368):R=Max-Max。当推计算量单元一样的变量时,全距越大,观察值的离散水平越大。
如一组烧伤病人的最大烧伤面积为90%TBSA,最幼面积为10%TBSA,按公式(368)推算,R=90-10=80%TBSA。
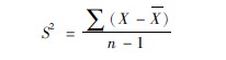
二、方差
方差是离均差平方和的均匀值,方差的大幼只与观察致冯散程杜仔关,而与观察值个数的几多无关。样本方差以符号S2暗示,是总体方差的估计值,按公式(369)推算:
201134145226715

式中∑(X-X)2为离均差平方和, n-1为自由度(n′)。因总体方差不易得到,现实工作中常用样本方差作为总体方差的估计。
方差多用于方差分析或两个样本尺度差归并推算之用。如甲组25人,尺度差为28,乙组46人,尺度差为22,两组归并尺度差公式为(369):
201134145234740

三、 尺度差
凭据上述见解,全距系指一组变量值中最大值与最幼值的差;尺度差则暗示这一组变量值散布的离散水平。为进一步注明其离散水平,试看下面这两组数据:
A组:80、90、100、110、120(均匀数=100)
B组:98、99、100、101、102(均匀数=100)
这两组数值的均数都是100,但是变量值的颠簸领域却有很大差距,A组数据最大值与最幼值之差(全距)为40(120~80),B组数据最大值与最幼值之差(全距)为4(102~98)。由此可见,A组数据的颠簸领域比B组大得多。故均数不能齐全注明事物内部的内容,必要用尺度差来综合分析。目前以为反映数据精确度较为美满的指标就是尺度差。
又如:甲组5例病人的烧伤总面积别离为90%、80%、70%、21%、9%TBSA,均匀为54%TBSA;乙组5例病人的烧伤总面积别离为100%、49%、49%、36%、36%TBSA,均匀值也为54%TBSA,但甲组特沉度病人有3例,乙组仅有1例。两组均值固然相称,但并无同质性和可比性,同时也可看出尺度差的沉要性。由于尺度差是一个个别数据无意性颠簸大幼的尺度尺度,尺度差大,暗示个别数据颠簸性大,尺度差幼,暗示个别数据颠簸性幼。
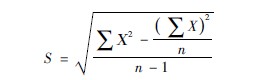
四、尺度差推算
1直接推算公式(3610):
201134145244116

S为尺度差,∑Χ2为变量值平方后的和,(∑x)2是变量值总和后的平方,n为变量个数。
示例365:测得9例创面出血病人的血幼板数量别离为:30、50、40、40、50、40、30、50、149(×109/L),求它们的尺度差。
【解题步骤】
先别离求出公式(3610)中的∑Χ2和(∑Χ)2/n,及n-1值,而后世入公式。
由于∑Χ2为变量值平方后的和,即:
∑Χ2=302+502+402+402+502+402+302+502+1492=36301
[(∑Χ)2]/n=(30+50+40+40+50+40+30+50+149)2/9=254934
(n-1)为(9-1)=8
代入公式(3610),得:
201134145255962

答:9例创面出血病人的血幼板尺度差为36755×109/L。
2大样本加权法公式
推算大样本资料,应绘造频数表资料,凭据公式(3611)推算尺度差:
20113414533202

式中∑fX为各组段X与本组段频数乘积之和,∑fΧ2为各组段fx与本组段X乘积之和。
示例366仍以例362为例,即某院调查了110例特沉度烧伤病人的血液血红蛋白含量,其浓度领域在115~150 g/L之间,求其尺度差。
【解题步骤】
凭据表362中提供的数据,将(∑f)=110、(∑fX)=13194、(∑fΧ2)=1584990代入公式(3611),得:
201134145317520

了局:110例烧伤病人的血红蛋白尺度差为472g/L。
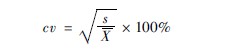
五、变异系数
在统计学大将变量值间的差距称为变异,批注这种变异的指标有全距、尺度差和变异系数。如上所述,尺度差的作用是用来确定两组数据的颠簸水平,通常情况下,哪一个尺度差大,哪一组的数据颠簸领域也大;哪一个尺度差幼,其颠簸领域也幼。但是,当比力分歧类型的数据时,如身长与体沉,或两个均匀数相差较大时,若直接用尺度差判断它们的颠簸水平就不安妥了,由于尺度差只能反映绝对颠簸大幼,不能反映相对颠簸大幼。这种表白相对数颠簸大幼的指数称为变异系数,用cv或ν暗示。该指标也可理解为用百分比暗示的尺度差,即尺度差(s)与均数(X)之比。其公式为(3612):
201134145325329

示例367某院调查了7岁男孩身高均数为12116cm,尺度差为431cm,胸围均数5771cm,尺度差为282cm。比力两者的变异水平。
【解题步骤】
凭据公式(3612),别离求身长变异系数和胸围变异系数:

201134145334922

答:本例身长均数显著大于胸围均数,若与尺度差直接比力,胸围的变异系数似乎幼于身长,但经过变异系数推算,结论为胸围的变异水平并不比身长变异水平幼。由此可见,身长的变异水平比胸围不变。
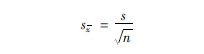
六、尺度误
由于均数的尺度误与样本尺度差类似,都是注明离散水平的指标,故在此作一介绍。变异系数均数尺度误有两种,一种是总体尺度误,一种是样本尺度误。总体尺度误(σx)和样本尺度误(sx、SE、SEM)是暗示均数误差水平的指标。在医学钻研中,常在总体中抽出一部门作为样本,而后再凭据样本的观察了局推论总体情况。但是,由于在统一总体中的个别之间必然存在着差距(如同是50%TBSA烧伤),样本均数与总体均数之间存在差距,各个样本均数之间必然产生差距,谓之尺度误(sx),是由抽样引起的。尺度误越幼,注明样本均数与总体均数越靠近,用样本均数推论总体均数的可能性越大;反之,尺度误越大,注明用样本均数推论总体均数的可能性越幼。故均数尺度误是测定样本均数变异领域的尺度。在医学资猜中,常用样本均数±尺度误的大局(x±sx)暗示资料的靠得住水平。通常来说,在x±1×sx的领域内,总体均数出现的概率为683%;在x±2×sx的领域内,总体均数出现的概率为95%,或者说有95%以上的把握可以为总体均数在这个领域之内,也可以为沉复同样尝试100次,得出100个均数,会有95%以上的均数散布在x±2×sx的领域内。公式(3613)为:201134145354409

sx为尺度误,s为样本尺度差,n为样本个数。
示例368某院抽查了100例病人的血液红细胞数量,其样本均值为50×109/L,样本尺度差为246×109/L,求其尺度误。
【解题步骤】
凭据公式(3613),求得:
20113414543557

答:本例样本尺度误为0246(×109/L),资料的靠得住水平为50±0246(×109/L)。
七、均匀数、尺度差、尺度误的利用
1暗示正常领域如体温、脉搏,血压,红细胞,白细胞等正常值等推算均必要尺度差的参加。正常值领域通常是以均匀数±2个尺度差作为划定界限,现以红细胞为例注明这个问题。如我们所求得的健全男子红细胞均匀值为50×109/L,尺度差为25×109/L,则正常男子红细胞的正常值可定为50±2×25,即45×109/L~55×109/L领域内。但该把稳,在利用此步骤时,变量的散布必须是正态散布,如属于非正态散布者,应采取其他步骤推算。
2估计受试对象所需样本数
(1)利用尺度误公式推算样本数:
示例369某医院测定了80名严沉烧伤患者早期血液肌酐(Cr)含量,测定了局:均数(x)=1548μmmol/L,尺度差(s)=158μmmol/L ,尺度误=1778μmmol/L, 即目前95%的相信限为1548±354μmmol/L ,欲求95%的相信限在158±20μmmol/L的领域内,必要观察几多例能力出现这种了局?
【解题步骤】
①凭据尺度误推算公式(3613)推算样本数(n),公式为(3614):
201134145419893

②由于95%的相信限为x±2×sx,今求2×sx=20,即sx=10。把有关数据代入公式(3614),得:
201134145437746

③结论:若把观察人数增长到250人,可能使相信限领域达到1548±20μmol/L 。
(2)利用两归并尺度差推算样本数:
示例3510某医生用某药医治粒细胞削减症,为观察某药物用口服步骤及肌肉注射步骤对最高疗效出现功夫(天)的影响。凭据预备试验了局,口服法最高疗效出现的均匀功夫为222天,肌肉注射法为175天,归并尺度差(s)为1391天。问各组需观察几多例能力使两组均数的差距有显著意思?   
【解题步骤】
①本例是两个样本均匀数作比力的资料,当两组样本相称时,其样本大幼的估计公式为(3615):
201134145455144

 n=每组例数,t005=表中查出的尺度值,s=归并尺度差,x1-x2=两组均数差。
②当n≥30时,查表得出t005=20,因x1-x2=475,s=1391,代入公式(3615):
20113414553178

③结论:每组必要观察69例能力使两组均数差距有显著意思。

【网站地图】